我们知道,用于计算的线性组合而成的分子轨道,其内部的对称性是要一致的
\begin{align*}
\psi = c_a \phi_a + c_b \phi_b + ...
\end{align*}
\(\phi_a,\phi_b,...\)等的对称性一致,都是某不可约表示的基
这种用于构筑给定对称性的分子轨道的原子轨道特定组合被称为对称性匹配的线性组合(symmetry-adapted linear combinations,缩写为SALCs)
如果我们知道了一个分子的点群,并能查到该点群的特征标表,那据此如何正确地获得SALCs呢?
这就需要用到投影算符了。
1 投影算符
投影算符的作用,是获得一个矢量在另一个矢量上的分矢量。
当我们知道某个矢量的具体内容时,其投影算符和投影过程是很容易得出来的。
例如,在三维物理矢量空间中,矢量\(\boldsymbol{A}\)在矢量\(\boldsymbol{B}\)上的投影大小为
\begin{align}
\text{投影长度} = |\boldsymbol{A}| \cdot \cos\theta = \frac{\boldsymbol{A} \cdot \boldsymbol{B}}{|\boldsymbol{B}|}
\end{align}
所以,按照定义,将这个投影长度再数乘于矢量\(\boldsymbol{B}\)的方向向量\(\frac{\boldsymbol{B}}{|\boldsymbol{B}|}\)就可以得到符合定义的投影算符。
但如果尝试写出投影算符\(\hat{P}_{\boldsymbol{B}}\)的表达式,就会发现一个问题——两个矢量\(\boldsymbol{B}\)会直接点乘而失去其原本的作用。这是因为这个矢量空间定义的点乘满足交换律导致的。如果要继续在这套符号上表示算符,就得定义一个新的算法和符号。
\begin{align}
\hat{P}_{\boldsymbol{B}} = \frac{\boldsymbol{B}}{|\boldsymbol{B}|^2} \cdot \boldsymbol{B}
\end{align}
两个矢量\(\boldsymbol{B}\)因满足交换律,将直接点乘,变成标量
而我们之前定义的狄拉克符号,刚好解决了这个问题。同时,在量子力学里,主要解决的物理矢量空间,就是态空间。
如此,用狄拉克符号得到相应的量:
\begin{align}
\text{投影长度} &= \frac{\langle\psi_B | \psi_A\rangle}{\langle\psi_B | \psi_B\rangle} \\
\text{投影分矢量} &= \frac{| \psi_B \rangle \langle\psi_B | \psi_A\rangle}{\langle\psi_B | \psi_B\rangle} \\
\hat{P}_{\boldsymbol{\psi_B}} &= \frac{| \psi_B \rangle \langle\psi_B|}{\langle\psi_B | \psi_B\rangle} \tag{1} \label{Pi}
\end{align}
若投影的\(\boldsymbol{| \psi_B \rangle}\)是归一化的,则可以进一步简化
\begin{align}
\text{投影长度} &= \langle\psi_B | \psi_A\rangle \\
\hat{P}_{\boldsymbol{\psi_B}} &= | \psi_B \rangle \langle \psi_B|
\end{align}
若选取一组正交归一的基矢量\(\{|i\rangle\}\),则该矢量空间中的任意矢量\(|\psi\rangle\),均可由该基的线性组合表示,
\begin{align}
|\psi\rangle = \sum_{i} c_i |i\rangle
\end{align}
此时每个基矢量的系数,即为矢量\(|\psi\rangle\)在该基矢的投影长度。
例如,其中某基矢\(|k\rangle\)的系数,与投影长度的关系如下
\begin{align}
\langle k | \psi\rangle &= \langle k| \sum_{i} c_i |i\rangle \\
&= \sum_{i} c_i \langle k | i \rangle \\
&= \sum_{i} c_i \delta_{ik} \quad \text{(当且仅当 \(i=k\) 时,系数\(c_i\) 能存在)} \\
&= c_k
\end{align}
换句话说,我们可以用投影算符\(\hat{P}_{k}\)“分解”态空间中的任意态矢
\begin{align}
|\psi\rangle = \sum_{i} |i\rangle &\langle i|\psi\rangle = \sum_{i} \hat{P}_i |\psi\rangle \\
\hat{P} =& \sum_i \hat{P}_i \tag{2} \label{P}
\end{align}
如果你足够敏锐,应该能发现,这个新算符等价于单位算符\(\hat{I}\),这体现的是封闭性关系,它表明所有基矢量上的投影算符之和等于单位算符。但在这里我们不关注这个关系。
刚才是把所有基矢量的投影都用上了,若只选取一部分的投影,则情况略有不同。
具体地,假设3个正交归一基\(|1\rangle,|2\rangle,|3\rangle\)构成一个三维态空间\(\mathcal{V}_{\Omega}\)。选取\(|1\rangle\)作为基构成一个一维子空间\(\mathcal{V}_1\),\(|2\rangle,|3\rangle\)作为基构成一个二维子空间\(\mathcal{V}_2\)。考虑态空间\(\mathcal{V}_\Omega\)中的任意一个态矢\(|\psi\rangle\),那么有
\begin{align}
\hat{P}_1 |\psi\rangle =& |1\rangle \langle1|\psi\rangle \tag{3} \label{gamma1} \\
=& c_1 |1\rangle
\end{align}
它可以表示为,将\(|\psi\rangle\)投影到子空间\(\mathcal{V}_1\)上。其实还有一个很形象的描述,投影算符,让所有和它结合的矢量,统统跌入这个一维空间中去。
也有
\begin{align}
\hat{P}_1 |\psi\rangle =& \sum_{i=2}^{3} |i\rangle \langle i|\psi\rangle \tag{4} \label{gamma2} \\
=& c_2 |2\rangle + c_3 |3\rangle
\end{align}
它则可以表示为,将\(|\psi\rangle\)投影到子空间\(\mathcal{V}_2\)上。
这正好符合我们想要做的事情:将波函数投影到各不可约表示\(\Gamma_i\)对应的子空间\(\mathcal{V}_i\)上,以获得对应的基。例如,上面的过程(\(\ref{gamma1}\))对应了一维的不可约表示,过程(\(\ref{gamma2}\))对应了二维的不可约表示。
这样看来,似乎SALCs是个很简单的过程。但别忘了,这种求法有个前提——我们要知道基的具体形式,而这恰恰本就是我们准备去求的。
因此,我们只能换个思路——我们虽然不知道基,但我们有可能知道这个基下,不可约表示的各矩阵的一些信息。
接下来,我们尝试利用这些矩阵,来构建一个投影算符。
2 完整投影算符的导出
让我们假设有\(l_i\)个正交(思考:是否需要归一?)函数\(\phi^i_1,\phi^i_2,...,\phi^i_{l_i}\)的集合\(\{ \phi_s^i \}\),它组成阶为h的群\(G\)第\(i\)个不可约表示\(\Gamma_i\)(维数为\(l_i\))的基。然后按定义,对这个群的任意对称操作\(R\)和第\(t\)个基函数\(\phi^i_t\),我们可以写
\begin{align}
\hat{R} \phi_t^i = \sum_{s=1}^{l_i} \phi_s^i \Gamma (R)^i_{st} \tag{5} \label{R}
\end{align}
其中\([\Gamma (R)^i_{st}]\)代表群\(G\)的第\(i\)个不可约表示中,\(R\)矩阵的第\(s\)行第\(t\)列的元素。
如何理解该等式?
可以用矩阵的方式理解式(\(\ref{R}\))的逻辑。
\(\phi_t^i\)的列矩阵为
\begin{align*}
[\phi_t^i] =
\begin{bmatrix}
0 \\
\vdots \\
1 \\
\vdots \\
0
\end{bmatrix}
\quad \text{第t列元素为1,其余元素为0}
\end{align*}
由线性变换性质(矩阵的运算规则亦可)可知,若将\(R\)的表示矩阵作用于这个基函数,得到的新的列矩阵,与R矩阵的第t列元素一一对应。
\begin{align*}
\begin{bmatrix}
\dots & \Gamma (R)^i_{1t} & \dots \\
\dots & \Gamma (R)^i_{2t} & \dots \\
& \vdots & \\
\dots & \Gamma (R)^i_{l_i t} & \dots \\
\end{bmatrix}
\begin{bmatrix}
0 \\
\vdots \\
1 \\
\vdots \\
0
\end{bmatrix}
=
\begin{bmatrix}
\Gamma (R)^i_{1t} \\
\Gamma (R)^i_{2t} \\
\vdots \\
\Gamma (R)^i_{l_i t} \\
\end{bmatrix}
\end{align*}
再将新的列矩阵转化为波函数,即\(\sum_{s=1}^{l_i} \phi_s^i \Gamma (R)^i_{st}\)
故有
\begin{align*}
\hat{R} \phi_t^i = \sum_{s=1}^{l_i} \phi_s^i \Gamma (R)^i_{st}
\end{align*}
将等式(\(\ref{R}\))乘以\([\Gamma (R)^j_{s^{\prime} t^{\prime}}]^*\)。\([\Gamma (R)^j_{s^{\prime} t^{\prime}}]^*\)代表群\(G\)的第\(j\)个不可约表示中,\(R\)矩阵的第\(s^{\prime}\)行第\(t^{\prime}\)列的元素的复共轭,要注意,这里的\(s^{\prime}\)和\(t^{\prime}\)是我们自己选定的。
\begin{align}
\color{red}{[\Gamma (R)^j_{s^{\prime} t^{\prime}}]^*}\hat{R} \phi_t^i = \sum_{s=1}^{l_i} \phi_s^i \Gamma (R)^i_{st} \color{red}{[\Gamma (R)^j_{s^{\prime} t^{\prime}}]^*}
\end{align}
把等式两边,对群\(G\)中所有操作求和,得
\begin{align}
\color{red}{\sum_R} [\Gamma (R)^j_{s^{\prime} t^{\prime}}]^*\hat{R} \phi_t^i = \color{red}{\sum_R} \sum_{s=1}^{l_i} \phi_s^i \Gamma (R)^i_{st} [\Gamma (R)^j_{s^{\prime} t^{\prime}}]^*
\label{sumsum} \tag{6}
\end{align}
观察右边的求和结构,可以发现,\(\phi_s^i\)是与\(R\)无关的函数,因此式(\(\ref{sumsum}\))右边可以写为
\begin{align}
\sum_{s=1}^{l_i} \color{red}{\phi_s^i} \sum_R \Gamma (R)^i_{st} [\Gamma (R)^j_{s^{\prime} t^{\prime}}]^*
\end{align}
于是,我们得到了\(\{ \phi_s^i \}\)的一个线性组合,且第\(s\)个基函数\(\phi_s^i\)的系数为\(\sum_R \Gamma (R)^i_{st} [\Gamma (R)^j_{s^{\prime} t^{\prime}}]^*\)
这些系数受到广义正交定理的约束,定理表明
\begin{align}
\color{blue}{\sum_R \Gamma (R)^i_{st} [\Gamma (R)^j_{s^{\prime} t^{\prime}}]^*}
= \color{red}{\frac{h}{\sqrt{l_i l_j}} \delta_{ij} \delta_{ss^{\prime}} \delta_{tt^{\prime}}}
\end{align}
可见,在对\(s\)的求和中,只有当\(s=s^{\prime}\)时(\(s^{\prime}\)是我们选定的),\(\phi_s^i\)的系数不为0,因此,我们可以把对\(s\)的求和简化掉,只保留\(\phi_{s^{\prime}}^i\)
\begin{align}
\sum_{s=1}^{l_i} \phi_s^i \color{blue}{\sum_R \Gamma (R)^i_{st} [\Gamma (R)^j_{s^{\prime} t^{\prime}}]^*}
= \sum_{s=1}^{l_i} \phi_s^i \color{red}{\frac{h}{\sqrt{l_i l_j}} \delta_{ij} \boldsymbol{\delta_{ss^{\prime}}} \delta_{tt^{\prime}}}
= \phi_{s^{\prime}}^i \color{red}{\frac{h}{\sqrt{l_i l_j}} \delta_{ij} \delta_{tt^{\prime}}}
\end{align}
再重新整理原等式(\(\ref{sumsum}\)),得
\begin{align}
\sum_R [\Gamma (R)^j_{s^{\prime} t^{\prime}}]^*\hat{R} \phi_t^i
= \phi_{s^{\prime}}^i \frac{h}{\sqrt{l_i l_j}} \delta_{ij} \delta_{tt^{\prime}}
\end{align}
同时,只有当\(i=j,t=t^{\prime}\)时,\(\phi_s^i\)项才能存在,否则为0。换句话说,当\(\phi_s^i\)项存在时,其系数必为\(\frac{h}{l_j}\),故进一步简化系数,得
\begin{align}
\color{blue}{\sum_R [\Gamma (R)^j_{s^{\prime} t^{\prime}}]^*\hat{R}} \phi_t^i
= \color{red}{(\frac{h}{l_j}) \phi_{s^{\prime}}^j} \delta_{ij} \delta_{tt^{\prime}}
\label{RRphi} \tag{7}
\end{align}
我们现在引入符号,将等式的系数和算符部分整合成一个新的算符,以简化表示
\begin{align}
\hat{P}^j_{s^{\prime}t^{\prime}}
= \color{red}{(\frac{l_j}{h})} \color{blue}{\sum_R [\Gamma (R)^j_{s^{\prime} t^{\prime}}]^*\hat{R}}
\end{align}
并把式(\(\ref{RRphi}\))重新写成
\begin{align}
\hat{P}^j_{s^{\prime}t^{\prime}} \phi_t^i
= \phi_{s^{\prime}}^j \delta_{ij} \delta_{tt^{\prime}}
\tag{8} \label{Pphi}
\end{align}
算符\(\hat{P}^j_{s^{\prime}t^{\prime}}\)称为投影算符。现在让我们摘掉\(\delta\),尝试分析一下这个有些烧脑的方程。
首先,若选取的投影算符\(\hat{P}^j_{s^{\prime}t^{\prime}}\)和被作用的基函数\(\phi_t^i\),不在同一个不可约表示中时(即\(i \neq j\)),作用结果为0。这是广义正交定理的结果。
\begin{align}
\hat{P}^j_{s^{\prime}t^{\prime}} \phi_t^i = 0 \qquad i \neq j
\end{align}
它可以理解为:不同不可约表示对应的子空间之间是正交的,那么子空间\(\mathcal{V}_i\)中的基函数\(\phi_t^i\),在另一个正交的子空间\(\mathcal{V}_j\)的投影自然就为0了。
现在假定在同一个不可约表示中(即\(i = j\)),继续讨论\(\delta_{tt^{\prime}}\)的部分。如此其作用可以看成\(\hat{P}^j_{s^{\prime}t^{\prime}}\)分别作用于\(l_j\)个基函数,它们的效果如下:
\begin{align}
\hat{P}^j_{s^{\prime}t^{\prime}} \phi_t^{\color{red}{j}} =
\begin{cases}
0 & t \neq t^{\prime} \\
\phi_{s^{\prime}}^{\color{red}{j}} & t = t^{\prime}
\end{cases}
\end{align}
分析其效果,可以总结为:
①选取的\(t^{\prime} \neq t\)时,得到的是0,也是因为广义正交定理。
②当选取的\(t^{\prime} = t\)时,将得到另一个基函数\(\phi_{s^{\prime}}^{\color{red}{j}}\)
它也可以理解为:同一不可约表示的子空间\(\mathcal{V}_j\)内,各基函数是正交的,所以\(\phi_t^j\)在其他基函数\(\phi_{t^{\prime}}^j\)上的投影为0(对应\(t \neq t^{\prime}\));而\(\phi_t^j\)在自身上是有投影的(对应\(t = t^{\prime}\)),在这个算符下,它的投影为另一个基函数\(\phi_{s^{\prime}}^j\)。
于是投影算符最有用的情况,应该是得到如下不为零的结果
\begin{align}
\hat{P}^j_{s^{\prime}t^{\prime}} \phi_{\color{red}{t^{\prime}}}^j =
\phi_{s^{\prime}}^j
\end{align}
即,算符\(\hat{P}^j_{s^{\prime}t^{\prime}}\)将不可约表示\(\Gamma_j\)中的第\(t^{\prime}\)个基函数\(\phi_{\color{red}{t^{\prime}}}^j\)“投影”成另一个基函数\(\phi_{s^{\prime}}^j\)。
对应的实际用途是:当我们已知一个基函数时,可以利用投影算符,求出该不可约表示下的另一个基函数。也就是用基函数生成另一个基函数。
若进行推广,式(\(\ref{Pphi}\))中的\(\phi_t^i\)可以换成任意波函数\(\psi\),该波函数包含了\(\phi_{t^{\prime}}^j\)成分,有
\begin{align}
\hat{P}^j_{s^{\prime}t^{\prime}} \psi =
\phi_{s^{\prime}}^j
\end{align}
其含义为,将\(\psi\)中的\(\phi_{t^{\prime}}^j\)成分“投影”成基函数\(\phi_{s^{\prime}}^j\)。如此,我们就可以从任意波函数(前提是其包含\(\phi_{t^{\prime}}^j\)成分)生成出它在某个不可约表示中的另一基\(\phi_{s^{\prime}}^j\)。
但这还是有些麻烦,毕竟需要知道的矩阵信息太多了——每一行每一列似乎都要知道。
所以有一个很重要的特殊情况,\(s^{\prime} = \color{red}{t^{\prime}}\),此时
\begin{align}
\hat{P}^j_{\color{red}{t^{\prime}}t^{\prime}} \psi =
\phi_{t^{\prime}}^j \delta_{ij} \delta_{\color{red}{t^{\prime}}t^{\prime}}
\label{Ptt} \tag{9}
\end{align}
意为,若一波函数\(\psi\)包含了\(\phi_{t^{\prime}}^j\)成分(这部分的判断由\(\delta_{ij} \delta_{tt^{\prime}}\)完成),则算符\(\hat{P}^j_{t^{\prime}t^{\prime}}\)可将\(\psi\)中的\(\phi_{t^{\prime}}^j\)成分投影出来。此时,只需要用到矩阵的对角线元素,大大简化了求算流程。\(\hat{P}^j_{t^{\prime}t^{\prime}}\)也是最重要的完整投影算符。它的作用效果类似于式(\(\ref{Pi}\))的\(\hat{P}_i\)算符。
完整投影算符的应用实例
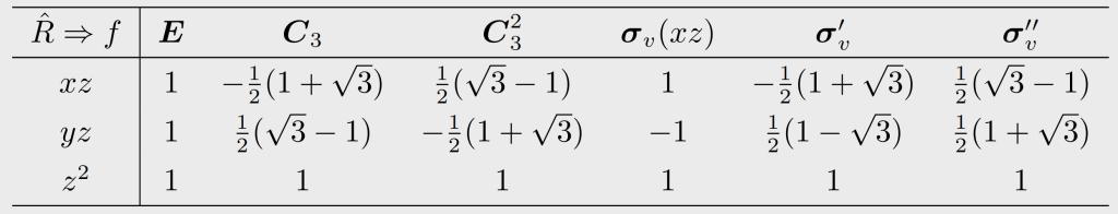
为了叙述如何使用公式(\(\ref{Ptt}\)),让我们考虑\(C_{3v}\)群中的一般函数\(f=xz+yz+z^2\)。
我们将用投影算符从这个任意函数求出一对函数,它们组成\(E\)表示的基。下方给出了两个表,分别表明了函数\(xz+yz+z^2\)在群中六个对称性算符作用下的变换,及群的不可约表示\(E\)的表示矩阵


为了行文简洁,下面对运算过程进行简化(不是必要的)。观察函数的变化可知,变换后,函数仍有\(xz,yz,z^2\)三项,故我们可以着重关注它们系数的变化,并分别进行求和。先把\(\hat{R}\)作用上函数,并把各项系数分列排布。

我们将首先用投影算符\(\hat{P}_{11}^E\)。把每个矩阵的第1行、第1列元素按关系乘上各系数,并进行求和。

再把\(\frac{l_i}{h}=\frac{2}{6}\),与各项相乘,得
同理对\(\hat{P}_{22}^E\)有
\begin{align*}
\hat{P}_{22}^E (xz+yz+z^2) = yz
\end{align*}
由此,我们已经从函数\(f=xz+yz+z^2\)投影出两个函数\(xz\)和\(yz\),它们组成\(E\)表示的一个基。
可见\(z^2\)对\(E\)表示的基集合不论整体或是局部均无贡献。如果你感兴趣,可以将其他的表示一一作用在\(f=xz+yz+z^2\),尝试找出\(E\)对哪个表示的基集合有贡献。
2 “不完整”投影算符的导出
从上面的讨论显然可知,为了使用目前我们所推导出来的投影算符形式,必需知道矩阵的各个对角元素。
对于一维表示,这个倒是无所谓,毕竟只有一个元素,其本身就是对角元素。但是对于二维、三维,甚至更高维,即使简化到获取各个对角元素,还是一件很麻烦的事情。
但是通过前面对不可约表示的学习,我们知道,特征标是很容易获得的——相似变换不改变矩阵的特征标。而特征标又是对角元素之和,因此,不难从\(\hat{P}^j_{t^{\prime}t^{\prime}}\)的明确表示式推出所要求的算符,即
\begin{align}
\hat{P}^j_{t^{\prime}t^{\prime}}
= (\frac{l_j}{h}) \sum_R [\Gamma (R)^j_{t^{\prime} t^{\prime}}]^*\hat{R}
\end{align}
若我们对每边的全部\(t^{\prime}\)值求和,得到
\begin{align}
\hat{P}^j
= \sum_{t^{\prime}=1}^{l_j} \hat{P}^j_{t^{\prime}t^{\prime}}
&= (\frac{l_j}{h}) \sum_{t^{\prime}=1}^{l_j} \sum_R [\Gamma (R)^j_{t^{\prime} t^{\prime}}]^*\hat{R} \\
&= (\frac{l_j}{h}) \sum_R \{ \sum_{t^{\prime}=1}^{l_j} [\Gamma (R)^j_{t^{\prime} t^{\prime}}]^* \} \hat{R} \\
\hat{P}^j
= (\frac{l_j}{h}) \sum_R &\chi (R)^j \hat{R}
\end{align}
在进行求和次序的交换,以及使用了特征标的定义后,得到了不完整”的投影算符。它的作用效果则类似于式(\(\ref{P}\))中的\(\hat{P}\)算符,\(\hat{P}^j\)与\(\hat{P}^j_{t^{\prime}t^{\prime}}\)的关系,也对应于式(\(\ref{P}\))与式(\(\ref{Pi}\))中两算符的关系。
利用这个投影算符\(\hat{P}^j\),我们只需要一个特征标表,就能够轻松地获得正确的SALCs了。
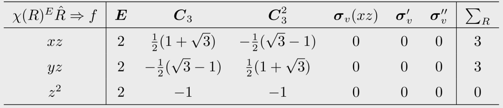
“不完整”的投影算符应用实例

现在让我们看看当把\(\hat{P}^E\)用于\(f=xz+yz+z^2\)时发生什么。
类似前述,把各系数\(xz,yz,z^2\)乘上相应的特征标,并做好整理,如下

再把\(\frac{l_i}{h}=\frac{2}{6}\),与各项相乘,得
\begin{align*}
\hat{P}^E (xz+yz+z^2) = \frac{2}{6}(3xz+3yz+0z^2) = xz + yz
\end{align*}
通过投影算符\(\hat{P}^E\),我们将函数\(f=xz+yz+z^2\)投影到不可约表示\(E\)所对应的子空间中,获得了一个\(xz\)与\(yz\)的线性组合,不难看出这两个就是不可约表示\(E\)的基。
参考资料:
《群论在化学中的应用》F.A.Cotton
《高等无机结构化学》麦松威
《结构化学基础》周公度
